给定一个 N 叉树,找到其最大深度。
最大深度是指从根节点到最远叶子节点的最长路径上的节点总数。
N 叉树输入按层序遍历序列化表示,每组子节点由空值分隔(请参见示例)。
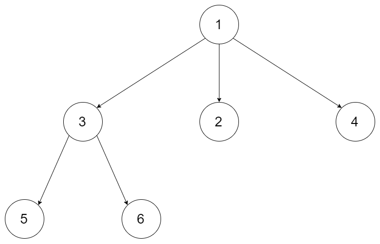
示例 1:

输入:root = [1,null,3,2,4,null,5,6]
输出:3
示例 2:

输入:root = [1,null,2,3,4,5,null,null,6,7,null,8,null,9,10,null,null,11,null,12,null,13,null,null,14]
输出:5
提示:
树的深度不会超过
1000。树的节点数目位于
[0, 104]之间。
BFS经典模板。多了个dep记录层数。
/*
// Definition for a Node.
class Node {
public:
int val;
vector<Node*> children;
Node() {}
Node(int _val) {
val = _val;
}
Node(int _val, vector<Node*> _children) {
val = _val;
children = _children;
}
};
*/
class Solution {
public:
int ans=0;
int maxDepth(Node* root) {
queue<Node*> q;
if(root==NULL) return 0;
q.push(root);
int dep=0;
while(!q.empty())
{
int n=q.size();
for(int i=0;i<n;i++)
{
if(i==0) dep++;
Node* front=q.front();
q.pop();
auto temp=front->children;
for(int j=0;j<temp.size();j++)
{
q.push(temp[j]);
}
}
}
ans=dep;
return ans;
}
};